| Resolução - Exame de Categoria B |
Exame de Radioelectricidade
1 - Em modulação de amplitude, dupla faixa lateral, a largura de faixa necessária para uma emissão radiofonia A3E é de:
5 Khz.
6 Khz
10 Khz.
12 Khz.
Resposta: 2. 6 Khz.
Nota: Ver Classes de Emissão
2 - Pode-se definir-se semicondutor como sendo:
Um material cuja resistividade eléctrica se situa entre a dos condutores e a dos isoladores.
Dois materiais diferentes soldados um ao outro.
Dois pedaços de cristal montados em conjunto e munidos de um eléctrodo em cada extremidade e um outro ao centro.
Uma barra de silício cortado e moldada de modo a entrar e a ressonância numa certa frequência.
Resolução: 1. Um material cuja resistividade eléctrica se situa entre a dos condutores e a dos isoladores. Nota: Ver semicondutores.
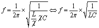
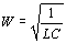
3 - Um circuito ressonante paralelo está sintonizado para 1000 KHZ, a indutância (L) para metade e aumentando a capacidade (C) para o dobro qual será a nova frequência de ressonância?
É maior que 1000 KHZ.
É menor que 1000 KHZ.
É igual a 1000 KHZ.
O circuito não tem frequência de ressonância.
Resposta: 3. É igual a 1000 KHZ.
![]() |
|
![]() |
![]() |
Se L para para metade temos L/2.
Se C passa para o dobro temos 2C.
Logo:

4 - Se se aumentar a resistência de um circuito ressonante RLC:
A gama de frequência de saída alarga-se.
A frequência de ressonância diminui.
A gama de frequência de saída estreita-se.
O sinal de saída sofre uma desfasagem.
Resposta: É preciso conhecer o circuito pois depende se é um circuito ressonante em série ou em paralelo.
5 - Um transístor NPN pode ser formado por:
Uma lâmina delgadíssima de germânio do tipo N colocada entre duas lâminas relativamente espessas de germânio do tipo P.
Um emissor, uma base mas sem colector.
Um material emissor de electrões e de protões.
Resposta: 1. Uma lâmina delgadíssima de germânio do tipo P colocada entre duas lâminas relativamente espessas de germânio do tipo N.
6 - Qual a velocidade das ondas radioeléctricas através do espaço?
Resposta: 4. 300.000 Km/seg (velocidade da luz no vácuo).
7 - Um transístor PNP pode ser formado por:
Duas lâminas delgadíssimas de germânio do tipo N que envolvem uma lâmina espessa de germânio do tipo P.
Uma lâmina delgadíssima de germânio do tipo N colocada entre duas lâminas espessas de germânio do tipo P.
Resposta: Uma lâmina delgadíssima de germânio do tipo N colocada entre duas lâminas espessas de germânio do tipo P.
8 - Na figura, identifique o terminal "colector":
| B | |
| A | ![]() |
| C |
A
B
Não há colector.
C
Resposta: 2. B
| Colector | |
| Base | ![]() |
Emissor |
9 - Na figura, indique a alternativa que corresponde a um circuito reactivo:
![]() |
![]() |
![]() |
![]() |
A |
B |
C |
D |
A
C
B
D
Resposta: 1. A
10 - Quando o germânio contém uma pequena porção de arsénio:
Origina material do tipo P.
Origina material do tipo N.
Tem uma maior indutância.
Contém poucos electrões.
Resposta: 2. Origina material do tipo N. Nota: Ver os semicondutores.
11 - Um transístor na configuração base-comum apresenta:
Alta impedância de entrada.
Ganho de corrente maior que 1.
Baixa impedância de saída.
Alto ganho de tensão.
Resposta: 4. Alto ganho de tensão.
Nota: Ver a
tabela.
12 -Um tétrodo possui:
6 elementos.
5 elementos.
4 elementos.
3 elementos.
Resposta: 3. 4 elementos
13 - Um transístor, no qual circula entre colector e emissor uma corrente de 80 mA quando, entre base e emissor circula uma corrente de 400 mA apresenta um ganho de:
0.2
20
50
200
Resposta: 4. 200
400 uA
= 0.4 mA 80 / 0.4 = 200
14 - A corrente que circula entre colector e o emissor de um transístor é de 8 mA, e a corrente que circula entre a base e o emissor do mesmo é de 400 mA. Qual é o ganho de corrente apresentado?
50
0,2
20
200
Resposta: 3. 20
400 uA =
0.4 mA 8 / 0.4 = 20
15 - No circuito, indicado na figura, como se faz a polarização base-emissor?
Utiliza-se a resistência R1.
Utiliza-se o filtro C1e R1 para se obter a polarização base-emissor.
Não há polarização base-emissor.
Utiliza-se a queda de tensão em R2.
Resposta: 1. Utiliza-se a resistência R1. Nota: Ver a polarização do transístor bipolar.
16 - Considere o circuito da figura, no qual a corrente está a variar em relação à tensão. Para que o circuito entre em ressonância é necessário:
Reduzir a capacidade C.
Reduzir a indutância L.
Aumentar a capacidade C.
Aumentar a resistência R.
Resposta:
17 - Identifique o símbolo da figura:
![]() |
Díodo.
Transístor NPN.
Transístor PNP.
Díodo zener.
Resposta: 2. Transístor NPN
18 - Num díodo de junção, chama-se "tensão de zener":
À tensão de polarização directa máxima.
À tensão de saturação.
A qualquer valor de tensão alternada aplicada ao díodo.
Ao valor de tensão inversa que produz um aumento significativo de corrente inversa.
Resposta: 4. Ao valor de tensão inversa que produz um aumento significativo de corrente inversa.
19 - A polarização dos transístores de base à massa é aplicada do seguinte modo:
Base-emissor, inversa e base-colector, inversa.
Base-emissor, directa e base-colector, directa.
Base-emissor, directa e base-colector, inversa.
Base-emissor, inversa e base-colector, directa.
Resposta: 3. Base-emissor, directa e base-colector, inversa.
20 - O símbolo da figura representa um:
![]() |
Transístor de efeito de campo.
Díodo varicap.
Transístor bipolar.
Díodo zener.
Resposta: 1. Transístor de efeito de campo.
|
|
||
|
|
||
Os artigos são da responsabilidade de quem os escreveu. Os restantes conteúdos de - © Radioamadores.net |
||
| Página "Resolução - Exame de Categoria B" actualizada em: 31-05-2009 | ||
| |Home Page | | ||